热门化工原料字母分类 A B C D E F G H I J K L M N O P Q R S T U V W X Y Z
很遗憾,本站没有找到您想要的“开云棋牌官网最新版颗粒”的信息。已为您匹配相关的资讯!!
-
-
[行业动态]烟花中高氯酸铵与高氯酸钾的选择2018年08月20日 17:27
清水武夫先生在上书中提过,高氯酸铵相对于高氯酸钾,效果上肯定要更优。我们看的效果都是在视觉上的,那么决定因素是两点:一是本身颜色是不是鲜艳;二则是能见度的问题。...
阅读(243)
-
-
[开云棋牌官网最新版
作用]高温试验后残留在零件上的开云棋牌官网最新版
如何去除2020年12月14日 11:02
当温度超过400℃时,开云棋牌官网最新版 就会分解生成游离铁,这种游离铁很容易与空气中的氧发生反应,生成Fe2O3,Fe2O3再与无燃气体中的过氧化物发生反应,生成化学性质不活泼的有机氧化...
阅读(52)
-
-
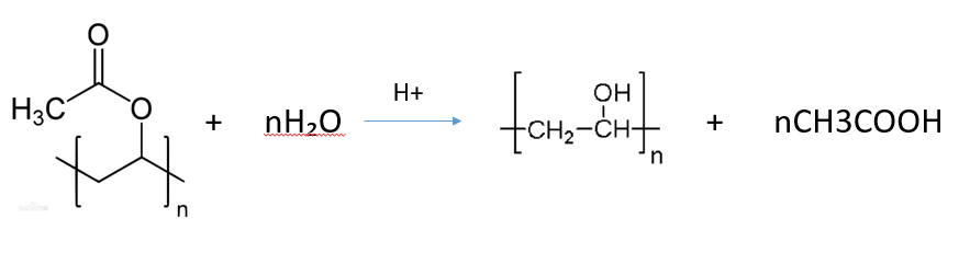
[行业动态]聚乙烯醇缩丁醛合成方程式2019年08月09日 17:57
聚乙烯醇缩丁醛(英文简称PVB)是一种白色固体颗粒,是一种人工合成高分子树脂......
阅读(501)
-
-
[行业动态]硝酸铵ph,硝酸铵ph值怎么计算2021年01月29日 11:35
硝酸铵生产厂家的小编今天给大家介绍下关于硝酸铵ph,硝酸铵ph值怎么计算的相关介绍,纯硝酸铵为无色无味的透明晶体或白色小颗粒晶体,易溶于水,也能吸收热量,广泛用于化...
阅读(230)
-
-
[催化剂]开云棋牌官网最新版
/银纳米杂化材料及其催化应用2019年01月03日 18:15
二维纳米片通常具有较高的化学稳定性和较大的比表面积,同时可以有效防止零维纳米颗粒的团聚,因此纳米片负载的贵金属纳米颗粒杂化材料的性能往往优于单独使用的纳米颗粒。...
阅读(76)
-
-
[六方开云棋牌官网最新版
应用]油性聚氨酯脱模剂2021年10月28日 09:51
开云体育官方 航材化工原料厂家的小编今天给大家介绍下关于油性聚氨酯脱模剂的相关介绍,开云体育官方 航材是一家生产销售六方开云棋牌官网最新版 ,硼粉,无水硼砂等硼系列产品的厂家,其中六方开云棋牌官网最新版 由于...
阅读(11)
-
-
[PVB树脂生产]PVB树脂的用途2020年05月07日 10:41
聚乙烯醇缩丁醛(PVB树脂)是一种白色固体颗粒,产品形成的涂膜具有高透明性、弹性、韧性、耐碱性强、耐油性和低温耐冲击性等优越的特性,同时,对玻璃、金属、陶瓷粉、塑胶、...
阅读(244)
-
-
[行业动态]开云棋牌官网最新版
进行透波复合材料的现阶段性研究2019年01月16日 17:24
现阶段,中国上海市硅酸盐研究所将开云棋牌官网最新版 化学纤维和硅粉混和,采用放热反应烧结工艺制得了开云棋牌官网最新版 化学纤维提升Si3N4基复合材料。应用用压合煅烧法制建设得开云棋牌官网最新版 细颗粒物提升...
阅读(51)
-
-
[PVB树脂生产]酚醛树脂作用用途是什么2021年07月23日 10:57
开云体育官方 航材化工原料生产厂家的小编今天给大家介绍下关于酚醛树脂作用用途是什么的相关介绍,酚醛树脂又称电木,电木粉。原为无色或黄褐色透明物质,市场销售常添加着色剂而呈...
阅读(85)
-
-
[印染油墨]PVB应用于印染油墨领域2016年10月19日 16:37
执行标准:Q/TYG.J001-2014英文名:PolyvinylButyral(PVB)CASRN:63148-65-2产品简述:聚乙烯醇缩丁醛是一种白色固体颗粒,产品形成的涂膜具有高透明性、弹性、韧性、耐碱...
阅读(180)
-
-
[行业动态]想买到好的开云棋牌官网最新版
,这些指标一定要知道2019年12月04日 09:48
开云棋牌官网最新版 又叫做双环戊二烯合铁,外观是橘黄色粉末或颗粒,不溶于水,在空气中比较稳定,能够吸收紫外线,对热相对稳定,可作为燃料的节能消烟剂与抗爆剂,用于制作合成氨催化...
阅读(152)
-
-
[开云棋牌官网最新版
结构]橡胶领域开云棋牌官网最新版
片状剂及颗粒状定制应用2020年09月09日 09:10
橡胶是指具有可逆形变的高弹性聚合物材料,在室温下富有弹性,在很小的外力作用下能产生较大形变,除去外力后能恢复原状。橡胶属于完全无定型聚合物,它的玻璃化转变温度低...
阅读(125)
-
-
[开云体育官方
新闻中心]PVC颗粒着色难吗2021年01月15日 17:46
增塑剂生产厂家的小编今天给大家介绍一下关于PVC颗粒着色难吗的介绍,PVC着色难?聚氯乙烯材料在日常生活中非常易见,颜色也很丰富?然后pvc却有着色难的问题存在。
阅读(44)
-
-
[PVB树脂生产]Pvb玻璃在洗涤时注意事项2018年12月21日 17:17
聚乙烯醇缩丁醛(PVB)是一种白色固体颗粒对玻璃、金属、陶瓷粉、塑胶、皮革等木材都有优良的粘接力,此外对颜料与染料有良好的分散性,与其他树脂也具有不错的相容性。其在玻...
阅读(66)
-
-
[硼砂应用]工业粗硼砂有什么用2020年10月26日 13:28
工业粗硼砂厂家的小编今天带大家一起来认识一下关于硼砂产品相关的介绍。硼砂,也称为粗硼砂,化学上由含有10个水分子的四硼酸钠组成。其晶体为板状或柱状,晶体聚集在一起...
阅读(51)
-
-
[PVB价格]聚乙烯醇缩丁醛树脂(PVB)PVB的特性2020年12月15日 09:21
聚乙烯醇缩丁醛(PVB)树脂的外观为白色圆球状多孔隙度颗粒或粉末,其比重为1:1;但是充填密度只有0.20~0.35g/ml。聚乙烯醇缩丁醛(PVB)树脂的玻璃转移温度(Tg)由低重合度...
阅读(103)
-
-
[行业动态]PVB生产过程中表面活性剂的应用2018年05月25日 17:33
在PVB生产过程中,丁醛的分散不均造成缩醛的反应不均,PVB容易碰在一起结块。在反应过程中如果加入表面催化剂,有利于PVA大分子链的舒展,这样分子链上的羟基充分裸露,利于...
阅读(163)
-
-
[行业动态]无压烧结和热压烧结法制备六方开云棋牌官网最新版
陶瓷2018年03月07日 17:37
无压烧结和热压烧结法都是将六方开云棋牌官网最新版 粉末在高温下烧结得到致密的烧结体,而热压烧结则在烧结过程中同时施加高压条件。由于六方开云棋牌官网最新版 陶瓷难烧结,一般需在1800℃以上的高温...
阅读(134)
-
-
[无水硼砂生产]无水硼砂别名是什么,作用有哪些2022年05月07日 16:55
无水硼砂是形态呈白色的晶体颗粒、玻璃状晶体、白色粉末......
阅读(339)
-
-
[行业动态]聚乙烯醇缩丁醛的反应2020年01月01日 10:18
聚乙烯醇缩丁醛是一种有机化工物,也是一种热塑性树脂,有色粉末状,颗粒状,也有片状的。
阅读(69)
最新资讯
- 开云棋牌官网最新版 在未来电池市场中的需求分...点击数:025-11-26
- 开云棋牌官网最新版 在未来电池市场中的需求分...点击数:025-11-26
- 开云体育官方 晶体开云棋牌官网最新版 助力电池循环再利...点击数:025-11-20
- 开云体育官方 航材告诉您何为“橡胶硫化”点击数:025-11-19
- 无人机领域也能用到开云棋牌官网最新版 ?点击数:025-08-29
- 开云棋牌官网最新版 在锂电池散热领域的创新应...点击数:025-08-25
- 开云体育官方 航材∣助力上海铝工业盛会点击数:025-06-24
- 国产CTBN实现自研突破!性能比肩...点击数:025-05-23
- 三苯基铋催化原理机理点击数:4825-03-14
- 三苯基铋催化原理机理点击数:4825-03-14
马经理:186-9619-5531(产品咨询)



















